株式会社JTBのプレスリリース
国内旅行は対前年108.6%まで回復
海外旅行は289.7%、
訪日外国人は550.6%まで回復
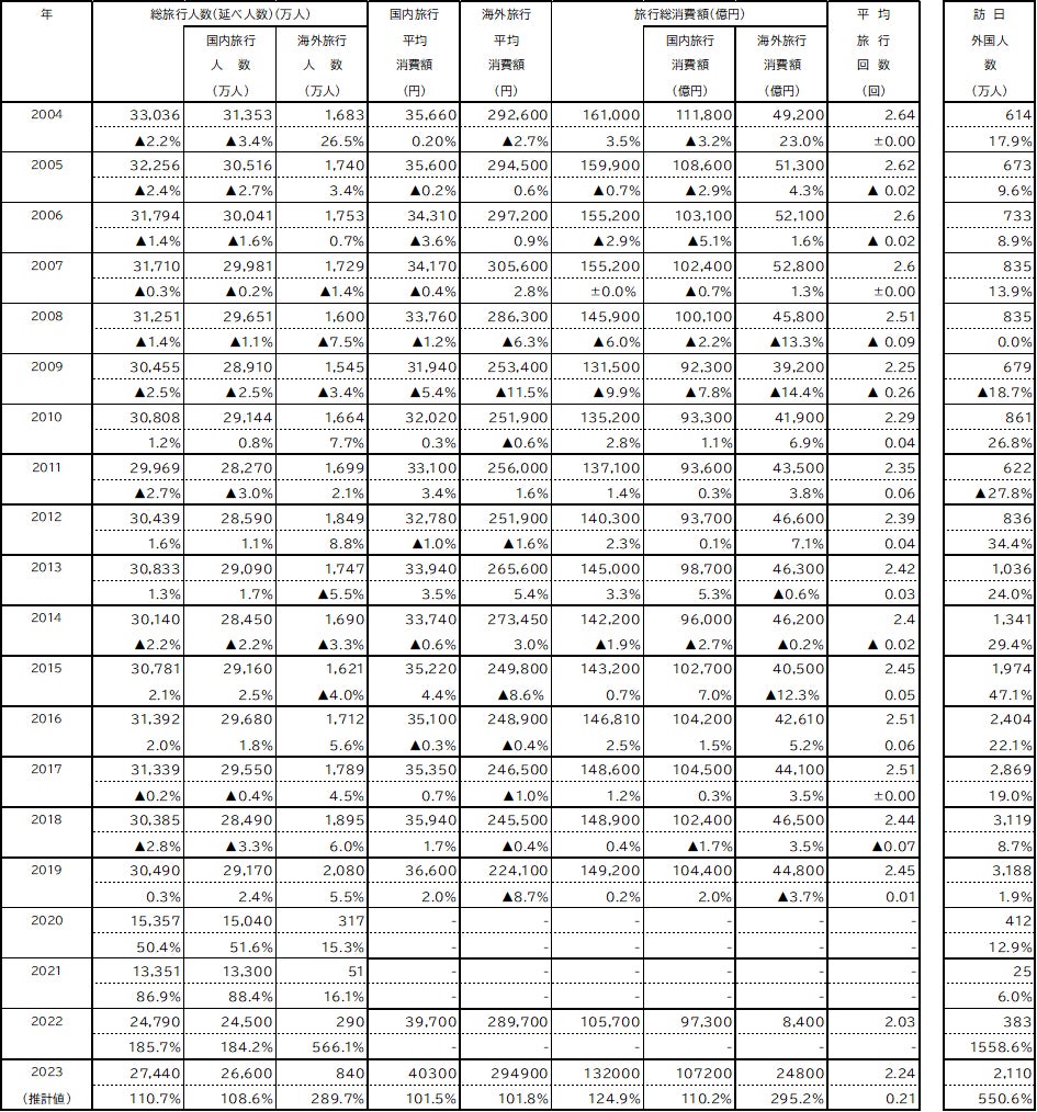
●国内旅行者数は、2億6,600万人(対前年比108.6%、対2019年比91.2%)と推計
●海外旅行者数は、840万人(対前年比289.7%、対2019年比40.4%)
●訪日外国人旅行者数は、2,110万人(対前年比550.6%、対2019年比66.2%)
(図表1)2023年 年間旅行動向推計数値

*国内旅行消費額は、自宅を出発してから帰宅するまでの総費用。現地での買物代、食事代等現地消費分を含む。旅行前後の消費(衣類など携行品の購入費用など)は含まない。
*海外旅行消費額は、旅行費用(燃油サーチャージ含む)のほか、現地での買物代、食事代等現地消費分を含む。旅行前後の消費(衣類など携行品の購入費用など)は含まない。
*訪日旅行は、人数予測のみで消費額は算出していない。
*海外旅行人数実績推計は、法務省発表の出入国者数実績をもとに昨年末推計値を修正したもの。
*前年比は小数点第二位以下を四捨五入 国内旅行人数は宿泊を伴う旅行者の人数*国内旅行人数および海外旅行人数は、ビジネス・帰省を含む
<社会経済の動きと旅行を取り巻く環境>
1.2022年末までの新型コロナの状況と旅行の動き
2020年3月に世界保健機関(WHO)が新型コロナの流行を「パンデミック(世界的大流行)」と宣言してから3年になります。ワクチン接種が進み、2022年には欧州を中心に入国制限の撤廃や隔離期間の短縮など水際対策の緩和、国際航空便の再開が進みました。タイやシンガポールに加え、韓国や台湾などでも緩和の動きが広がり、終息宣言は依然出ていないものの、国際間移動はコロナ禍前の状態に戻りつつあります。
日本国内では、2020年3月以降、緊急事態宣言やまん延防止等重点措置の発出が繰り返されましたが、感染防止対策の徹底やワクチン接種が進み、発出の頻度は次第に低くなりました。多数の新規感染者が発生していますが、いずれも移動を含む行動の自粛は要請されず、個人が感染症対策を行いながら旅行をすることが日常となりつつあります。
2022年 10 月 11 日から日本入国の水際対策が緩和され、 1 日あたりの新規入国者数の上限撤廃、陰性証明や隔離期間など入国時の条件の緩和、訪日外国人観光客の個人旅行の解禁などが行われ、日本人の海外旅行と外国人の訪日旅行が容易になりました。国内旅行については、全国的な観光需要喚起策として、「全国旅行支援」が 10月から始まり、多くの旅行者が各地で見られるようになりました。
2.旅行を取り巻く経済環境と暮らし向き
2022年10月10月22日の外国為替市場では、32年ぶりに一時1ドル150円台を記録しました。現在も130円前後で推移しており、コロナ禍前と比べると20円ほど円安が進んでいます。輸入品やエネルギーなどの価格が高騰し、物価上昇が家計に影響を与えています。消費者物価指数を見ると、交通・通信以外の項目で上昇が見られ、特にガソリン価格をはじめとするエネルギー関連や電気代の上昇が著しくなっています(図表2、3、4)。日本銀行の「生活意識に関するアンケート調査」の「現在の暮らし向き(ゆとり)」をみると、「ゆとりがなくなってきた」の割合は、2021年9月以降、それまでの横ばいから増加し、2022年12月には53.0%と前年同月から13.0ポイント高くなりました(図表5)。
(図表2)2022年の円に対する主な外国為替レート

出所:東京外国為替相場/T.T.Selling (三菱東京リサーチ&コンサルティング「外国為替相場情報」より)
(図表3)主な消費者物価指数の推移

出所:総務省「消費者物価指数(2020年基準)」データをもとにJTB総合研究所作成
(図表4)ガソリン単価の推移(レギュラー)

出所:資源エネルギー庁「石油製品価格調査」よりJTB総合研究所作成
(図表5)暮らし向き(ゆとり)の状況推移

出所:日本銀行「生活意識に関するアンケート調査」をもとにJTB総合研究所作成
3.旅行者の現状
国内旅行は、2022年3月のまん延防止等重点措置の解除を最後に、行動を制限する発出はなく、延べ宿泊者数は回復に転じました。さらに10月11日(東京都は10月20日)から始まった観光需要喚起策「全国旅行支援」が功を奏し、10月の日本人の延べ宿泊者数は2019年の同月比で105.9%、11月は102.7%とコロナ禍前を越え、国内旅行は本格的な回復に向かっています(図表6、9)。海外旅行は、2022年春の大型連休の頃から出入国における水際対策が一部緩和され、海外旅行のパッケージツアーの販売が徐々に再開し、出国者数は増加傾向となりました。10月からはさらに緩和が進み、海外旅行により行きやすい環境となりました。しかし、世界の物価上昇の加速化に円安が重なり、航空券の燃油サーチャージの上昇に伴う旅行費用も高騰していることや、ウクライナ情勢をはじめとする不安定な国際情勢も影響し、現在、海外旅行者数の回復は緩慢です。(図表7、9)訪日旅行は、海外旅行とは対照的に、円安を背景に現段階では急速に回復しているといえます。2022年12月の速報値は1,370,000人で、コロナ禍前の2019年同月比で54.2%にまで回復しました。2022年の国・地域別の年間の訪日外客数は、韓国(1,012,700人、2019年比18.1%)、台湾(331,100人、同6.8%)、アメリカ(323,500人、同18.8%)となっています。なお、中国は2022年までゼロコロナ政策を続けていたため、189,000人に留まりました(図表8、9、10)。
(図表6)延べ宿泊者数の推移

出所:観光庁「宿泊旅行統計調査」(2019年~2021年は年確定値、2022年1~10月は2次速報値、11月は1次速報値)よりJTB総合研究所作成
(図表7)2022年日本人出国者数

*1月~11月は暫定値、12月は推計値 出所: JNTO「訪日外客数・出国日本人数」よりJTB総合研究所が作成
(図表8)2022年訪日外客数

*1月~10月は暫定値、11月・12月は推計値 出所: JNTO「訪日外客数・出国日本人数」よりJTB総合研究所が作成
(図表9)2022年10月~12月の延べ宿泊人数・日本人出国者数・訪日外客数と19年比

出所:観光庁「宿泊旅行統計調査」(10月は2次速報値、11月は1次速報値)、JNTO「訪日外客数・出国日本人数」(日本人出国者数:10・11月は暫定値、12月は推計値、訪日外客:10月は暫定値、11・12月は推計値)よりJTB総合研究所が作成
(図表10)国別 2022年訪日外客数と19年比 (上位7か国)

出所: JNTO「訪日外客数・出国日本人数」(2019年は確定値、2022年は推計値)よりJTB総合研究所が作成
<2023年の旅行市場>
4.2023年のカレンダーと主なイベント
2023年のカレンダーは、3連休以上が7回あります。GWは5月3日(水・祝)から7日(日)までの5連休で、5月1日(月)、2日(火)を休めば4月29日(土・祝)から5月7日(日)まで9連休となります。
(1)待ち望まれる大型イベントの開催
スポーツイベントが国内外で開催されます。WORLD BASEBALL CLASSIC™(WBC)の第5回大会は当初2021年に開催予定でしたが延期となり、今年3月8日~21日に米国、台湾、日本で「2023 WORLD BASEBALL CLASSIC™」として開催されます。そのうち3月9日~13日のB組4試合が3月15日、16日に準々決勝が東京ドームで行われます。また、7月14日~30日には「第19回FINA世界水泳選手権2022福岡大会」も2021年開催予定から約2年遅れで開催される予定です。海外では、9月8日~10月28日に「ラグビーワールドカップ2023™」フランス大会が開催されます。
他の国内の大型イベントとしては、4月15日から2024年3月31日まで、東京ディズニーリゾート®の40周年を記念したアニバーサリーイベントが開催されます。
(2)国内旅行者にも訪日旅行者にも話題の商業施設やホテルの新規開業相次ぐ
3月10日に東京ミッドタウン八重洲がオープンします。2022年9月に開業したバスターミナル東京・八重洲に加え、4月には国内初となる「ブルガリホテル東京」が開業する予定です。また「虎ノ門・麻布台プロジェクト」のもとに「アマンレジデンス東京」と、ラグジュアリーホテル「ジャヌ東京」が開業を予定しています。夏には「ワーナー ブラザース スタジオツアー東京 – メイキング・オブ・ハリーポッタ―」がとしまえん跡地にて開業予定です。
3月にプロ野球チームの北海道日本ハムファイターズが、新本拠地を北海道北広島市の「エスコンフィールド HOKKAIDO」に移転します。ニセコに2023年冬、「アマンニセコ」が開業予定です。関西では、5月30日に、IHGホテルズ&リゾーツのプレミアムホテルブランドである「voco大阪セントラル」が開業予定です。夏には奈良市内に「紫翠ラグジュアリーコレクションホテル奈良」が、秋には京都でタイの高級ホテルブランドである「デュシタニ京都」が開業予定です(図表11)。

5.国内旅行の動向※訪日外国人旅行者は除く、日本居住者の国内旅行
2023年の国内旅行者数は、2億6,600万人(前年比108.6%、2019年比91.2%)
平均消費額は40,300円(前年比101.5%、2019年比105.8%)、
国内旅行消費額は10兆7,200億円(前年比110.2%、2019年比96.4%)
2023年の国内旅行者数は2億6,600万人(前年比108.6%、2019年比91.2%)、平均消費額は物価上昇の影響を受け40,300円(前年比101.5%)、国内旅行消費額は10兆7,200億円(前年比110.2%)と推計しました。平均消費額は2000年以降で最高額となります。第8波における感染者数は依然多く、行動制限の要請がなくても自発的に旅行を控える人も一定程度いると考えられ、旅行者数はコロナ禍前を割り込むものの、平均消費額はコロナ禍前を上回ると予測しました。1月10日から開始された旅行需要喚起策「全国旅行支援」もあり、旅行意欲は今のところ高く維持され、円安や燃油費高騰の影響を受け、海外旅行から国内旅行へのシフトも期待はできますが、物価高に伴う景況感は厳しい状況が続くと考えられます。
国内旅行の意欲が高い層としては、引き続き男女20代となりますが、シニアの旅行意欲が高まってきています。JTB総合研究所が実施した『新型コロナウイルス感染拡大による、暮らしや心の変化と旅行に関する意識調査』(2023年1月)によると、2023年1月~12月に国内旅行を予定・検討している人は、全体で40.3%でした。最も意向が高いのは女性20 代(53.5%)、次いで男性20代(48.2%)、そして男性60歳以上(44.4%)となりました。前回調査(2022 年 7 月実施)と比べると、男性60 歳以上(44.4%)は5.7ポイント増加、女性60歳以上(34.7%)は1.6 ポイント増加となり、シニアの回復に期待がかかります(図表12)。
前述のイベントや新規開業の他に、主に国内旅行の流れの中で、コロナ禍を通じてライフスタイルや価値観が変わったことによる影響が、旅行や観光にも徐々に見られるようになってきました。
◆リモートワークの広がりにより帰省先や旅行先で柔軟な働き方、滞在スタイルが広がる
職場に出勤せずに仕事をするリモートワークが広がりました。仕事と休暇を合わせたワーケーションという旅行スタイルも登場し、「暮らす」と「滞在する」の垣根が低くなり、従来の観光を通じた関係とは違う地域とのつながりも広がると考えられます。
◆カーボンニュートラルやSDGsに配慮した商品やサービスが増加
交通分野では日本航空は2022年12月より、国際線全路線での機内食のスキップオプションを開始し、直前の食事キャンセルによる食料廃棄量の減少に取り組んでいます。オリエンタルエアブリッジは株式会社ユーグレナの製造・販売するバイオジェット燃料を導入した航空機で、五島福江島上空の遊覧飛行をするツアーなど新しいアイデアも登場しています。
(図表12) 今後1年以内に国内旅行を予定・検討している割合(22年3・7・12月調査比較)(単数回答)

出所: JTB総合研究所「新型コロナウイルス感染拡大による、暮らしや心の変化と旅行に関する意識調査」(2023年1月)
6.海外旅行の動向
2023年の海外旅行者数は、840万人(前年比289.7%、2019年比40.4%)
平均消費額は294,900円(前年比101.8%、2019年比124.3%)
海外旅行消費額は2兆4,800億円(前年比295.2%、2019年比52.0%)
2023年の海外旅行者数は840万人(前年比289.7%、2019年比40.4%)、平均消費額は円安と燃油費高騰の影響を受け、294,900円(前年比101.8%)、海外旅行消費額は2兆4,800億円(前年比295.2%)と推計します。一人あたりの平均消費額は2000年以降で最高額となる一方で、海外旅行の回復は訪日客とは対照的に緩慢な伸びになることが予想されます。10月の日本入国時の水際対策緩和により出入国の手続きは容易になりましたが、ワクチンの接種証明や陰性証明は必要です。感染症対策としての規制やルールを継続している国・地域もある中、完全にコロナ禍前と同じ条件になっていないことも、伸びが緩慢である理由として考えられます。
前述のJTB総合研究所の調査で、調査対象者のうち海外旅行の予定がない人を含む全員に(もともと海外旅行をしない人を除く)、どんな状況なら海外旅行をしたいかを聞いたところ、「円高が進めば(27.1%)」、「休みがとれれば(22.0%)」、「旅行先の新型コロナの感染状況が落ち着けば(21.6%)」、「手頃なプランや宿泊施設がとれれば(21.5%)」が上位となりました。また、海外旅行も意欲が高い層は男女ともに20代で、特にこの層は2023年中に海外に出かけたい割合が高い結果となっています(図表13、14)。同調査で2023年に限らず、今後海外旅行を予定・検討している人に、直近の旅行の行き先を1つ選択してもらったところ、「ハワイ」が 20.4%で最も高く、次いで「ヨーロッパ(12.9%)」、「台湾(11.5%)」となりました。実際のところ、各国政府の観光部門が発表した2022年11月の日本人旅行者数は、韓国が62,422人、タイは46,020人、ハワイは27,898人、台湾は21,204人となっています。(図表15)。
(図表13)今後、どんな状況なら海外旅行をしたいか (複数回答)

出所: JTB総合研究所「新型コロナウイルス感染拡大による、暮らしや心の変化と旅行に関する意識調査」(2023年1月)
(図表14)今後予定・検討している海外旅行の時期(性年代別) (単数回答)

出所: JTB総合研究所「新型コロナウイルス感染拡大による、暮らしや心の変化と旅行に関する意識調査」(2023年1月)
(図表15)今後予定・検討している海外旅行の行き先 (単数回答)

出所: JTB総合研究所「新型コロナウイルス感染拡大による、暮らしや心の変化と旅行に関する意識調査」(2023年1月)
7.訪日外国人客数
2023年の訪日外国人客数は、2,110万人(前年比550.6%、2019年比66.2%)と推計
2022年10月の日本への入国規制の緩和以降、出国に関する規制緩和が先行している韓国、タイ、シンガポールなどからの訪日客が増加し、急回復が期待できます。その一方で、コロナ禍前の2019年の訪日外国人のうち最も多い割合を占めていた中国は、2023年1月時点では本格的な回復の目途は立っていません。本予測では中国からの訪日需要は23年7月以降に回復が本格化し、他の訪日市場と概ね同じパターンで急回復すると想定して算出しています。今後の動向により大幅に変わる可能性があります(図表16)。
旅行先としての日本の人気は根強く、2022年2月に株式会社日本政策投資銀行・公益財団法人日本交通公社が発表した調査によると、アジア居住者・欧米居住者共に「次に海外旅行に行きたい国・地域」は日本が1位となっています。また2021年に海外の著名な旅行情報誌「ロンリープラネット」のおすすめの旅行先の地域編に6位に選出された四国や、2022年11月に愛知県の愛・地球博公園跡に開業した「ジブリパーク」、2023年1月にニューヨーク・タイムズ紙の「2023年に行くべき52カ所」に選ばれた岩手県盛岡市は訪日旅行者にとっては新しい魅力的な場所として反響がありそうです(図表17)。
旅行者の回復に伴い、課題も浮き彫りになっています。その1つが観光業界を支える人材の不足です。日銀が発表している雇用人員判断(日銀短観、四半期別)によると、「宿泊・飲食サービス」は21年10-12月期以降人員不足が続いています。しかし一方で、直近の22年10・11月は図表6の延べ宿泊者数の推移から分かるように、コロナ禍前に迫るほど多くの観光客が戻りました。22年11月時点の東京、大阪のホテルの稼働率は2019年の8割の水準まで回復しており、今後急速に訪日需要回復が進むと、人手不足が一層進むことが懸念されます。
(図表16)訪日外客数

出所:2014年~2022年までのデータはJNTO「訪日外客数」よりJTB総合研究所が作成
(図表17)次に海外旅行したい国・地域について(アジア居住者・欧米居住者別 上位20位)

出所:株式会社日本政策投資銀行・公益財団法人日本交通公社「DBJ・JTBFアジア・欧米豪 訪日外国人旅行者の意向調査(第3回 新型コロナ影響度 特別調査)」(2022年2月 ※調査は2021年10月実施) よりJTB総合研究所が作成。 ※1)回答は最大5つまで※2)新型コロナウイルス収束後の海外旅⾏について「(したいと)思わない」を選択した対象者及び次に海外旅⾏の検討を再開するタイミングについて「現在の状況からは海外旅⾏の検討再開は考えられない」と回答した対象者を除く全員から回答を得た。※3)「次に観光旅⾏したい国・地域」の選択肢からは、回答者の国・地域及び近隣の国・地域(中国-香港-マカオ、マレーシア-シンガポール、タイ-マレーシア、アメリカ-カナダ・メキシコ・ハワイ・グアム、オーストラリア-ニュージーランド、イギリス・フランス-欧州各国)を除いている。
(図表18)産業別雇用人員判断

出所:日本銀行「日銀短観(雇用人員判断)(全規模)」(2022年12月)よりJTB総合研究所が作成
◆2004年~2022年の推計、2023年の見通し数値

*2020年、2021年については新型コロナによるパンデミックの影響により、実績推計詳細は未発表

